Open clusters.
Globular clusters.
2MASS: 2 microns

IRAS (FIR)
HI gas (radio wavelengths)
WMAP: microwave
Pulsars
Uhuru: first X-ray map.
RoSat: 0.25 keV
RoSat: 0.75 keV
RoSat: point sources.
RoSat: 0.75 keV
Chandra Deep Field South
Chandra Deep Field North
GRBs from BATSE
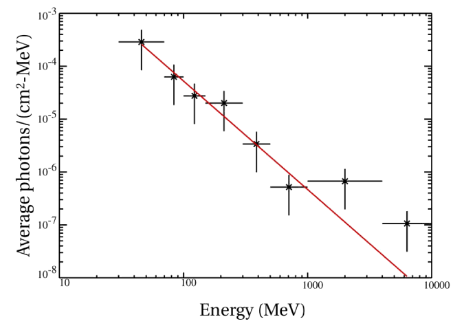
GRB spectrum
GRB light curves
OSSE: 511 keV
Comptel: 1-30 MeV

Comptel: Al-26
EGRET: source catalog
EGRET: types of sources
Neutrinos (muon neutrinos, >1TeV) from Amanda (equatorial coordinates)